formalesprachen:loesungaufgabe3automaten:start
                Aufgabe 3
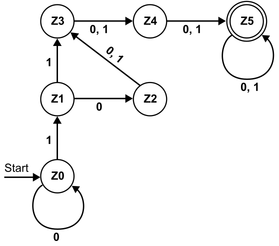
Konstruieren Sie einen DEA mit dem Alphabet A = {0, 1}, der genau die Binärzahlen akzeptiert, die größer oder gleich der Dezimalzahl 12 sind.
Lösung
formalesprachen/loesungaufgabe3automaten/start.txt · Zuletzt geändert:  von Martin Pabst
                
                
